No Image x 0.00 + POST No Image

Was Frauen unterschiedlichen Alters am attraktivsten finden – Wissenschaft deckt überraschende Unterschiede auf

SHARE
0

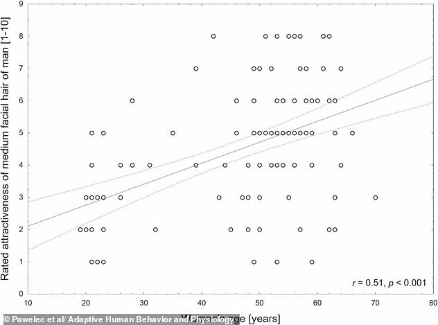
Wenn Sie sich jemals gefragt haben, warum ältere Frauen Pierce Brosnan bevorzugen, während jüngere Frauen Zac Efron bevorzugen, hat Wissenschaft jetzt eine Antwort. Als Teil einer Studie haben Experten herausgefunden, worauf Frauen unterschiedlichen Alters bei einem Partner am meisten Wert legen. Forscher baten 122 polnische Frauen im Alter von 19 bis 70 Jahren, eine Reihe von Fotografien von Männern zu bewerten. Diese waren digital so verändert worden, dass sie verschiedene Grade von maskulinem Erscheinungsbild, Bartwuchs, Körperform und Muskelmasse zeigten. Die Analyse, veröffentlicht in der Zeitschrift Adaptive Human Behavior and Physiology, zeigte je nach Alter der Befragten unterschiedliche Muster. Ältere Frauen finden Männer mit volleren Bärten und schlankem Körperbau attraktiver als jüngere Frauen. Postmenopausale Frauen, genauer gesagt, bewerteten feminine Merkmale und einen V-förmigen Körper im Vergleich zu Frauen in anderen Lebensphasen als weniger attraktiv. Und es könnte erklären, warum Mütter und Töchter sich bei der Attraktivität eines Mannes so stark unterscheiden. Eine Auswahl von Bildern, die im Rahmen der Studie gezeigt wurden. Die oberste Reihe zeigt Veränderungen der Gesichtsform, wobei A feminisiert, B mittel und C maskulinisiert ist. Die zweite Reihe zeigt Veränderungen im Bartwuchs, wobei A leicht, B mittel und C ein Vollbart ist. Außerdem wurden die Frauen gebeten, Unterschiede in der Körperform (obere Linie) und in der Muskelmasse (untere Linie) zu bewerten.

Was Frauen unterschiedlichen Alters am attraktivsten finden – Wissenschaft deckt überraschende Unterschiede auf

Kernbefund der Studie: Ältere Frauen bevorzugen Vollbart und schlanken Körper

Die Forscher, von der Wroclaw Medical University, fanden signifikante Unterschiede in den Bewertungen der Frauen. Die Ergebnisse zeigen, dass ältere Frauen mittlere bis volle Bärte attraktiver finden als jüngere Frauen. „Erhebliche Unterschiede in den Bewertungen der Frauen wurden festgestellt“, schrieb das Team der Wroclaw Medical University. In Bezug auf die körperliche Attraktivität wurde in dieser Studie festgestellt, dass ältere Frauen mittleren bis vollständigen Bärten attraktiver finden als jüngere Frauen. Darüber hinaus gelten Bärte als mit älterem Alter verknüpft, was für ältere Frauen attraktiver sein kann. Jüngere Frauen bevorzugen glattrasierten, muskulösen Körper; ältere Frauen bevorzugen einen Vollbart und einen schlankeren Körperbau. Sie erklärten, dass Muskeln als Indikator für die Fähigkeit zur Weitergabe genetischer Vorteile an Kinder sowie als Schutz für die Familie gesehen werden können. Die Ergebnisse deuten darauf hin, dass Muskelaufbau bei jüngeren Frauen mit Fortpflanzungsfähigkeit und der Aussicht auf Kinder zusammenhängt, während bei älteren Frauen eine leichtere Muskulatur Gesundheit und Zugänglichkeit signalisieren könnte. Die Forscher sagen, ihre Ergebnisse spiegeln die sogenannte Großmutter-Hypothese wider, die erklärt, dass sich die Aufmerksamkeit von der Partnerwahl auf die Unterstützung von Enkelkindern und der Familie verlagert.

Kernbefund der Studie: Ältere Frauen bevorzugen Vollbart und schlanken Körper

Kontext, UK-Umfrage und Schlussfolgerungen: Beweise für eine Lebensphasen-Perspektive

Eine kürzlich durchgeführte Umfrage unter 2.500 britischen Frauen ergab, dass sieben von zehn einen Mann mit Bart einem Mann mit durchtrainiertem Oberkörper bevorzugen. Der sogenannte Outlaw-Schnurrbart, wie am Hollywood-Herzensbrecher Pedro Pascal zu sehen, belegte den Spitzenplatz mit mehr als einem Fünftel der Stimmen. Der glattrasierte Look ist offiziell aus der Mode gerückt und belegt Platz neun von zehn. „Die Tage, in denen der Six-Pack der ultimative Turn-on war, gehen schnell zu Ende“, sagte Sylvia Linzalone, Dating-Expertin von Wisp. „Gesichtshaar verleiht einem Mann sofort Charakter – es signalisiert Selbstbewusstsein, Reife und ein wenig Geheimnis. Frauen sehnen sich nach Authentizität statt Ästhetik.“ Die Forscher erklären weiter, dass der Gesichtshaarstatus Belege für Reife und Status liefern kann, was ältere Frauen möglicherweise bevorzugen. Sie verweisen darauf, dass Beards mit älterem Alter assoziiert werden und daher für ältere Frauen attraktiver sein können. Die Ergebnisse könnten zeigen, warum jüngere Frauen eher zu glatten, muskulösen Körpern tendieren, während ältere Frauen Behaarung und eine schlankere Statur als Indikatoren für Stabilität wertschätzen. Die Idee der Großmutter-Hypothese wird betont – dass sich der Fokus von der Partnersuche auf die Betreuung von Enkelkindern verlagert, wenn Frauen älter werden und die reproduktiven Funktionen abnehmen.

Kontext, UK-Umfrage und Schlussfolgerungen: Beweise für eine Lebensphasen-Perspektive

-->