No Image x 0.00 + POST No Image

Ce que les femmes de différents âges trouvent le plus attirant chez les hommes selon la science — êtes-vous d’accord avec ces résultats ?

SHARE
0

Vous vous êtes déjà demandé pourquoi les femmes plus âgées craquent pour Pierce Brosnan tandis que les jeunes préfèrent Zac Efron ? Les scientifiques ont désormais la réponse. Dans le cadre d'une étude, des experts ont décrypté ce que les femmes de différents âges trouvent le plus attirant chez un partenaire. Des chercheurs ont demandé à 122 femmes polonaises âgées de 19 à 70 ans d’évaluer une série de photos d’hommes. Celles-ci avaient été numériquement modifiées pour montrer différents degrés de masculinité faciale, de pilosité faciale, de morphologie corporelle et de masse musculaire. L’analyse, publiée dans le journal Adaptive Human Behavior and Physiology, a révélé des motifs distincts selon l’âge. Les femmes plus âgées trouvent les hommes avec des barbes plus fournies et une silhouette plus mince plus attractifs que les femmes plus jeunes, selon l’étude. Les femmes postménopausées, en particulier, ont classé les traits féminins et un corps en V comme moins attractifs par rapport aux femmes à d’autres stades de leur vie. Et cela pourrait expliquer pourquoi les mères et leurs filles diffèrent autant dans ce qu’elles trouvent séduisant chez les hommes. Une sélection d'images présentées dans le cadre de l’étude. La rangée du haut montre les changements de la forme du visage, A étant féminisé, B moyen et C masculinisé. La rangée du bas montre les changements de la pilosité faciale, A légère, B moyenne et C barbe complète. Les femmes ont également été invitées à classer les différences de morphologie corporelle (ligne du haut) et le niveau de musculature (ligne du bas).

Ce que les femmes de différents âges trouvent le plus attirant chez les hommes selon la science — êtes-vous d’accord avec ces résultats ?

Méthode et résultats initiaux de l’étude

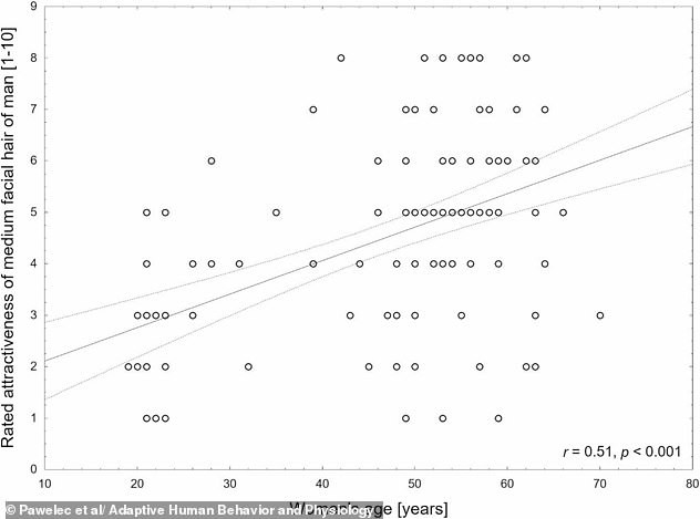
Une étude menée auprès de 122 femmes polonaises, âgées de 19 à 70 ans, a examiné leurs évaluations de photos d’hommes manipulées pour varier la masculinité faciale, la pilosité, la morphologie et la masse musculaire. Les résultats montrent des préférences distinctes selon l’âge. Selon l’étude, les femmes plus âgées trouvent les hommes avec des barbes plus fournies et une silhouette plus mince plus attractifs que les femmes plus jeunes. Les femmes postménopausées, en particulier, jugent les traits féminins et un corps en V comme moins attractifs que celles à d’autres stades de la vie. Les chercheurs expliquent que les différences de préférence pourraient refléter des traits prioritaires à certains moments de la vie.

Méthode et résultats initiaux de l’étude

Interprétation et implications

Les résultats suggèrent que les préférences peuvent refléter des traits privilégiés à différents moments de la vie, et que l’âge modifie l’importance accordée à certains signaux. Les jeunes femmes en âge de procréer pourraient privilégier les musculatures car elles indiquent la forme physique et la force. À mesure qu’elles vieillissent, les préoccupations reproductives diminuent et une silhouette plus mince – qui pourrait indiquer la santé – devient plus attrayante. Les barbes, quant à elles, peuvent être liées à la maturité et au statut, ce que les femmes plus âgées pourraient privilégier. "Significant differences in women's assessments were found," the team, from Wroclaw Medical University, wrote. "In terms of physical attractiveness, in this study it was found that older women rated medium to full beards as more attractive compared to younger women.") "While more facial hair may enhance perception of man's masculinity, age and potential reproductive success, it may also signal lower attachment and lower parental investment in offspring." "Therefore, older women, who may be less focused on fertility–related traits due to suppression of reproductive functions in menopause, may instead prioritize behaviours associated with resource acquisition or social dominance." The results showed that as women got older, they rated facial hair as progressively more attractive. The findings could go some way to explaining why younger women tend to prefer Zac Efron (left) who is clean–shaven and well–built. Older women, meanwhile, are more likely to prefer a bearded and slim Pierce Brosnan (right). "What is more, beards are considered to be linked to older age, which can be more appealing to older women." Younger women: Clean shaven, muscular body Older women: Fuller beard, slimmer build They explained that when it comes to muscles, being well–built may communicate an ability to pass on genetic benefits to children, as well as provide protection for the family. For younger women, this may align with what they look for in a long–term mate to have children with. "However, as women age, traits that signal aggression and reproductive success may become less vital," they wrote. "Among older women whose ovarian functions are decreasing or have already decreased, light musculature might reflect health and approachability, whereas stronger muscularity could be perceived as intimidating." The team said their results reflect the 'grandmother hypothesis', which explains that as women age they redirect their attention from finding a mate to helping care towards grandchildren and supporting the family. At this time of life, women are less likely to be seeking partners with the best reproductive genetics and instead look for someone who is stable and reliable. A recent survey of 2,500 UK women found that seven in 10 prefer a man with facial hair over one with a sculpted torso. The outlaw moustache, as seen on Hollywood heartthrob Pedro Pascal, took the top spot with more than a fifth of votes. Meanwhile the clean–shaven look is officially out of fashion, ranking a dismal nine out of 10. "The days of the six–pack being the ultimate turn–on are fading fast," Sylvia Linzalone, dating expert from Wisp, said. "Facial hair gives a man instant character – it suggests confidence, maturity, and a bit of mystery. Women are craving authenticity over aesthetics."

Interprétation et implications

Interprétation et implications (suite)

Ce que ces résultats impliquent au-delà des chiffres, c’est la possibilité que l’âge réoriente les priorités des femmes dans la recherche d’un partenaire, passant d’un signal de fertilité à un signal de stabilité et de ressources. Le texte de l’équipe évoque la *grandmother hypothesis* qui explique que, avec l’âge, les femmes redirigent leur attention de la recherche d’un compagnon vers l’aide aux petits-enfants et le soutien à la famille. À ce stade de la vie, les femmes sont moins susceptibles de rechercher des partenaires avec les meilleures génétiques reproductives et recherchent plutôt quelqu’un de stable et fiable. Une enquête récente menée auprès de 2 500 femmes britanniques a révélé que sept sur dix préfèrent un homme avec une barbe plutôt qu’un torse sculpté. La moustache débridée, comme celle affichée par Pedro Pascal, a occupé la première place avec plus d’un cinquième des votes. Pendant ce temps, le look rasé est officiellement démodé, classé à neuf sur dix. "The days of the six–pack being the ultimate turn–on are fading fast," a déclaré Sylvia Linzalone, experte en rencontres chez Wisp. "Facial hair gives a man instant character – it suggests confidence, maturity, and a bit of mystery. Women are craving authenticity over aesthetics."

Interprétation et implications (suite)

Comparaison internationale et réactions publiques

Une enquête menée auprès de 2 500 femmes britanniques a révélé que sept sur dix préfèrent un homme avec une barbe plutôt qu’un torse sculpté. Le moustache débridée, comme celle affichée par Hollywood heartthrob Pedro Pascal, a occupé la première place avec plus d’un cinquième des votes. Pendant ce temps, le look rasé de près est officiellement démodé, classé à neuf sur dix. "The days of the six–pack being the ultimate turn–on are fading fast," a déclaré Sylvia Linzalone, experte en rencontres chez Wisp. "Facial hair gives a man instant character – it suggests confidence, maturity, and a bit of mystery. Women are craving authenticity over aesthetics."

Comparaison internationale et réactions publiques

-->