No Image x 0.00 + POST No Image

Beards, Muscles and Age — Why Attraction Shifts Across a Woman's Life

SHARE
0

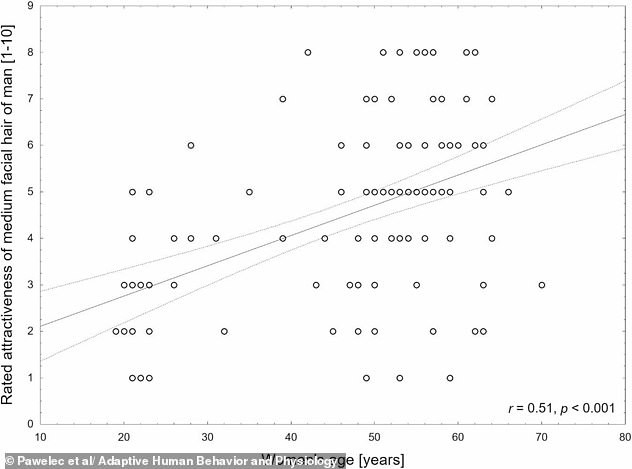
If you've ever wondered why older women hanker after Pierce Brosnan while younger ladies prefer Zac Efron, scientists now have the answer. As part of a study, experts have decoded what women of different ages find the most attractive in a partner. Researchers asked 122 Polish women aged between 19 and 70 to rate a range of photographs of men. These had been digitally altered to show varying degrees of facial masculinity, beardedness, body shape and muscle mass. Analysis, published in the journal Adaptive Human Behavior and Physiology, revealed distinct patterns depending on their age. Older women find men with fuller beards and with a slimmer build more attractive than younger women do, the study showed. Postmenopausal women, specifically, rated feminine features and a V–shaped body as less attractive compared to women in other life stages. And it could explain why mothers and daughters differ so greatly in who they find good–looking. A selection of images shown as part of the study. The top row shows changes to face shape, with A as feminized, B as medium and C as masculinized. The second row shows changes to facial hair with A as light, B as medium and C as a full beard. Women were also asked to rank differences in body shape (top line) and the amount of muscles (bottom line). The researchers said the differences in preference could reflect traits that are prioritised at certain times of life. Younger women who are in their reproductive years may prefer muscles because they indicate physical fitness and strength. As they get older, reproductive concerns vanish and a slimmer build – which might indicate health – becomes more appealing. Beards, meanwhile, can be linked to maturity and status, which older women may prioritise. 'Significant differences in women's assessments were found,' the team, from Wroclaw Medical University, wrote. 'In terms of physical attractiveness, in this study it was found that older women rated medium to full beards as more attractive compared to younger women. 'While more facial hair may enhance perception of man's masculinity, age and potential reproductive success, it may also signal lower attachment and lower parental investment in offspring. 'Therefore, older women, who may be less focused on fertility–related traits due to suppression of reproductive functions in menopause, may instead prioritize behaviours associated with resource acquisition or social dominance. The results showed that as women got older, they rated facial hair as progressively more attractive. The findings could go some way to explaining why younger women tend to prefer Zac Efron (left) who is clean–shaven and well–built. Older women, meanwhile, are more likely to prefer a bearded and slim Pierce Brosnan (right). 'What is more, beards are considered to be linked to older age, which can be more appealing to older women.' Younger women: Clean shaven, muscular body. Older women: Fuller beard, slimmer build. They explained that when it comes to muscles, being well–built may communicate an ability to pass on genetic benefits to children, as well as provide protection for the family. For younger women, this may align with what they look for in a long–term mate to have children with. 'However, as women age, traits that signal aggression and reproductive success may become less vital,' they wrote. 'Among older women whose ovarian functions are decreasing or have already decreased, light musculature might reflect health and approachability, whereas stronger muscularity could be perceived as intimidating.' The team said their results reflect the 'grandmother hypothesis', which explains that as women age they redirect their attention from finding a mate to helping care towards grandchildren and supporting the family. At this time of life, women are less likely to be seeking partners with the best reproductive genetics and instead look for someone who is stable and reliable. A recent survey of 2,500 UK women found that seven in 10 prefer a man with facial hair over one with a sculpted torso. The outlaw moustache, as seen on Hollywood heartthrob Pedro Pascal, took the top spot with more than a fifth of votes. Meanwhile the clean–shaven look is officially out of fashion, ranking a dismal nine out of 10. 'The days of the six–pack being the ultimate turn–on are fading fast,' Sylvia Linzalone, dating expert from Wisp, said. 'Facial hair gives a man instant character – it suggests confidence, maturity, and a bit of mystery. Women are craving authenticity over aesthetics.'

Beards, Muscles and Age — Why Attraction Shifts Across a Woman's Life

Younger Women Prefer Clean Shaven and Muscular Bodies

A selection of images shown as part of the study. The top row shows changes to face shape, with A as feminized, B as medium and C as masculinized. The second row shows changes to facial hair with A as light, B as medium and C as a full beard. Women were also asked to rank differences in body shape (top line) and the amount of muscles (bottom line). The researchers said the differences in preference could reflect traits that are prioritised at certain times of life. Younger women who are in their reproductive years may prefer muscles because they indicate physical fitness and strength. As they get older, reproductive concerns vanish and a slimmer build – which might indicate health – becomes more appealing. Beards, meanwhile, can be linked to maturity and status, which older women may prioritise. 'Significant differences in women's assessments were found,' the team, from Wroclaw Medical University, wrote. 'In terms of physical attractiveness, in this study it was found that older women rated medium to full beards as more attractive compared to younger women. 'While more facial hair may enhance perception of man's masculinity, age and potential reproductive success, it may also signal lower attachment and lower parental investment in offspring. 'Therefore, older women, who may be less focused on fertility–related traits due to suppression of reproductive functions in menopause, may instead prioritize behaviours associated with resource acquisition or social dominance. The results showed that as women got older, they rated facial hair as progressively more attractive. The findings could go some way to explaining why younger women tend to prefer Zac Efron (left) who is clean–shaven and well–built. Older women, meanwhile, are more likely to prefer a bearded and slim Pierce Brosnan (right). 'What is more, beards are considered to be linked to older age, which can be more appealing to older women.' Younger women: Clean shaved, muscular body. Older women: Fuller beard, slimmer build. They explained that when it comes to muscles, being well–built may communicate an ability to pass on genetic benefits to children, as well as provide protection for the family. For younger women, this may align with what they look for in a long–term mate to have children with. 'However, as women age, traits that signal aggression and reproductive success may become less vital,' they wrote. 'Among older women whose ovarian functions are decreasing or have already decreased, light musculature might reflect health and approachability, whereas stronger muscularity could be perceived as intimidating.'

Younger Women Prefer Clean Shaven and Muscular Bodies

Beards Signal Maturity and Status — The Grandmother Hypothesis

The team said their results reflect the 'grandmother hypothesis', which explains that as women age they redirect their attention from finding a mate to helping care towards grandchildren and supporting the family. At this time of life, women are less likely to be seeking partners with the best reproductive genetics and instead look for someone who is stable and reliable. 'What is more, beards are considered to be linked to older age, which can be more appealing to older women.'

Beards Signal Maturity and Status — The Grandmother Hypothesis

Public Perception: Facial Hair Dominates UK Poll

A recent survey of 2,500 UK women found that seven in 10 prefer a man with facial hair over one with a sculpted torso. The outlaw moustache, as seen on Hollywood heartthrob Pedro Pascal, took the top spot with more than a fifth of votes. Meanwhile the clean–shaven look is officially out of fashion, ranking a dismal nine out of 10. 'The days of the six–pack being the ultimate turn–on are fading fast,' Sylvia Linzalone, dating expert from Wisp, said. 'Facial hair gives a man instant character – it suggests confidence, maturity, and a bit of mystery. Women are craving authenticity over aesthetics.'

Public Perception: Facial Hair Dominates UK Poll

-->